2021年全軍面向社會公開招考文職人員網上報名有關情況
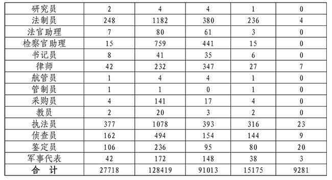
2021年全軍面向社會公開招考文職人員(不含先面試后筆試崗位)網上報名于4月7日8時正式開通。截至4月10日17時,有219432人報考,其中128419名報考人員通過網上報名資格條件初審,平均報招考比為8.46:1,最高報招考比為581:1。有人報考的崗位18437個,崗暫時無人報考的崗位9281個。請廣大報考人員理性選擇報考崗位,抓緊時間提交審核,并及時關注審核結果。相關崗位報考情況如下:
1.截至4月10日17時各省份崗位報考情況統計表

2.截至4月10日17時各崗位類別報考情況統計表


3.截至4月10日17時熱門崗位報考情況統計表

4.截至4月10日17時無人報考的崗位信息表
點擊下載:截至4月10日17時無人報考的崗位信息表
 來源:http://81rc.81.cn/news/2021-04/10/content_10019467.htm
 來源:http://81rc.81.cn/news/2021-04/10/content_10019467.htm


