2023年迪慶州事業單位公開招聘工作人員崗位報名情況3月30日






2023年迪慶州事業單位公開招聘工作人員崗位報名情況3月30日.pdf
來源:http://www.diqing.gov.cn/zfxxgk_dqzzf/fdzdgknr/tzgg/202303/20230330_186235.html
|
背景:
閱讀全文
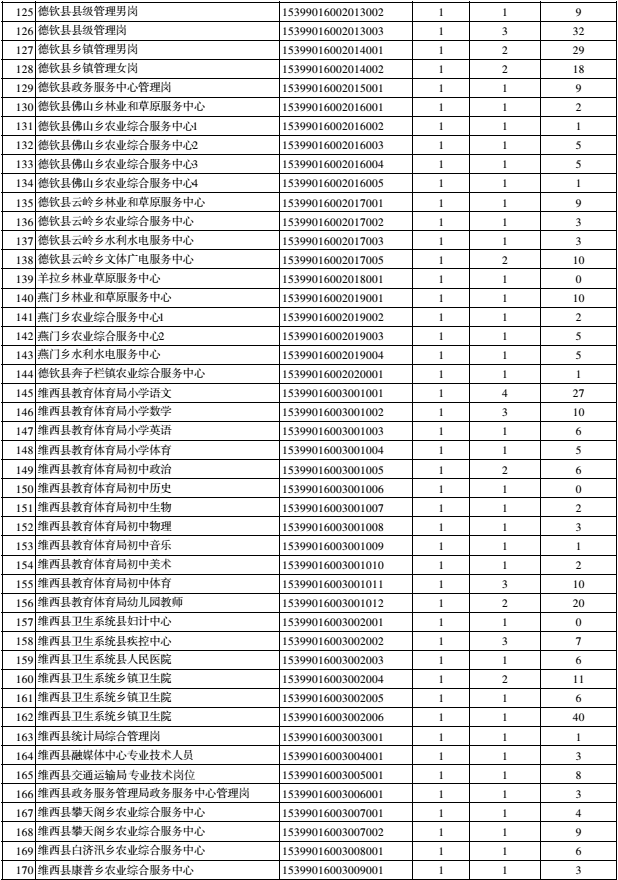
2023年迪慶州事業單位招聘報名數據(截止3月30日17:50)
2023年迪慶州事業單位公開招聘工作人員崗位報名情況3月30日
2023年迪慶州事業單位公開招聘工作人員崗位報名情況3月30日.pdf 來源:http://www.diqing.gov.cn/zfxxgk_dqzzf/fdzdgknr/tzgg/202303/20230330_186235.html
我要咨詢或發布信息 |
編輯:zhangmingshui |
閱讀: 次
相關信息鏈接
迪慶州事業單位招聘考試
熱門培訓課程
|
熱門培訓課程
本周熱門閱讀
網友點贊排行
熱門評論
|