華坪縣2025-2026年度大學生志愿服務西部計劃地方項目志愿者面試公告
根據麗江市西部計劃項目辦關于開展2025-2026年度云南省大學生志愿服務西部計劃省級地方項目的有關要求,按報考崗位筆試成績從高到低的順序,以招考計劃數1:2的比例,確定參加面試人選,現將面試有關事項公告如下:
一、面試時間
2025年7月1日上午8:00準時開始至全部考生面試結束。
二、面試地點
縣委新黨校三樓。
中共華坪縣委員會黨校
云南省麗江市華坪縣中心鎮迎賓路102號
三、面試方式
結構化面試方式,每位考生面試時間為12分鐘。
四、面試時需提供的材料
面試時考生需攜帶身份證、筆試準考證。
五、成績公布
面試成績當場宣布,面試結束后在“華坪共青團”微信公眾號公示三個工作日。
六、考生面試流程
(一)考生在規定時間內(2025年7月1日上午7:30以前)攜帶本人身份證、筆試準考證到面試地點報到。工作人員核對應試人員的身份,宣布應試人員紀律要求。考生隨身攜帶的資料和通訊工具(必須關閉)須交工作人員統一保管,不得帶入考場。
(二)考生抽簽。(引導員將本考場的全部考生帶進考場內,與考官見面,實現雙向回避,考生查驗試題密封情況后引導員將考生帶到休息室,依次抽取考生的抽簽順序,然后抽取面試順序號,并戴胸牌)。
(三)面試開始。引導員依次引領考生至面試考場進行面試,考生根據題本要求開展面試。
(四)面試結束后,引導員帶領考生到候分室休息等待宣布面試成績。
七、注意事項
(一)因面試時間較長,請考生考試當天吃早餐,以免出現身體不適等情況。
(二)考生面試時請使用普通話。
(三)考生應穿著正裝參加面試,但不得穿著有執法單位行業特征的制式服裝參加面試,否則其面試總成績將酌情扣分。
(四)請各位考生務必在規定的時間內參加面試,2025年7月1日上午7:45以前未到達面試地點的考生視為自動放棄面試資格。
(五)為便于管理,請考生盡量不要攜帶通訊工具。如有隨身攜帶的資料和通訊工具(須關閉),必須交給工作人員保管,通訊工具如不交給工作人員保管或攜帶進入面試考場的,視為違紀,當場取消考生面試資格。
(六)考生只允許報本人抽簽號,不得以任何方式向考官透露本人的姓名及本人父母姓名等相關信息。
(七)考生進入考試區域后,應遵守秩序,服從工作人員管理。
(八)按照回避的有關規定,考生可申請需要回避的考官予以回避。
(九)面試結束后考生不得帶走題簽和草稿紙。
(十)考生在候考室、面試室內禁止吸煙。
(十一)面試結束后,聽從工作人員引導到候分室等候宣布成績,不得離開所在會議室,不得返回候考室,不得在樓道滯留。宣布成績后,請考生到指定的地點領取手機后離開考試區域。如有陪同人員進入考試區域的,視情節輕重將給予考生相應的處罰。
(十二)違反規定的考生,視情節輕重,給予相應處罰。
(十三)由于面試及后續工作安排時間會較為集中,請各位考生妥善安排自已近期工作日程。
(十四)近期天氣變化大,請各位考生做好個人防護。
華坪縣大學生志愿服務西部計劃
項目管理辦公室
2025年6月30日
注意事項
(一)請各位考生認真及時地閱讀通知、公告,知曉政策規定及安排,如因考生本人未關注公告或通知造成的后果,完全由考生自己負責。
(二)大學生志愿服務西部計劃麗江市華坪縣項目管理辦公室不舉辦、也不委托、不參與任何單位或個人舉辦的培訓班。社會上各種面試培訓機構、輔導班均與大學生志愿服務西部計劃麗江市華坪縣項目管理辦公室無關。
咨詢電話: 0888-6121277
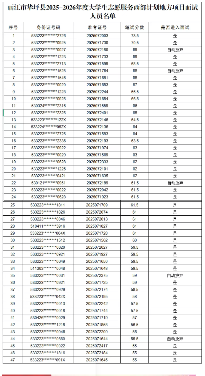
附件:麗江市華坪縣2025--2026年度大學生志愿服務西部計劃地方項目面試人員名單

來源:https://mp.weixin.qq.com/s/UOJThQUIjSluVM_OTQZcbg


